WR:何天容教授等喀斯特天然有机质环境效应团队:高原湿地汞和甲基汞对沉水植物衰退的多尺度响应
导读:沉水植物衰退(SPD)已成为湿地生态系统地面临的普遍生态环境问题,但其对汞(Hg)及甲基汞(MeHg)生物地球化学过程的影响还尚未完全理解。本研究以贵州草海高原湿地为研究区,通过短期和年际的跟踪研究,在2022–2023年期间进行季节性的采样,结合了2014年研究的历史数据,系统追踪了SPD事件后水体与沉积物中Hg与MeHg的时间—空间—形态多尺度响应规律,揭示DOM分子特性和硫循环是驱动MeHg异常分布的核心因子。

图文摘要
从时间上来看,5月份和8月份孔隙水DOM特性变化模式并不相同,5月份(雨季)界面水和间隙水DOM芳香性增强,且CDOM占比也响应提升,相反,8月份(雨季+藻类爆发)界面水和孔隙水DOM芳香性和CDOM占比较低(图1)。

图1 植物衰退期孔隙水(A)和界面水(B)DOM特性
SIA-DOMP中的类腐殖组分低于PIA-DOMP(图2),这表明PIA-DOM较大比例的成分来源于浮游生物演化和陆地输入。相反,SIA-DOMP中藻源性蛋白质组分的荧光强度高于PIA-DOMP。此外,8月份沉积物界面水和孔隙水DOM具有显著高于其他时期的藻源性类蛋白质组分,这意味着积累了更多来自于藻类分解的类蛋白组分。

图2 植物衰退期孔隙水(A)和界面水(B)DOM组分(C1和C2为类腐殖质;C3代表类蛋白质组分)
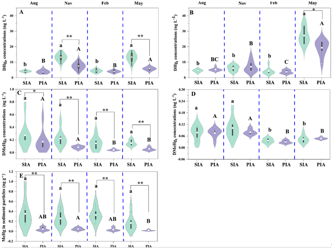
在5月(雨季),界面水DHg浓度明显高于8月(界面水和间隙水DOM)。相反,8月份孔隙水DMeHg浓度显著高于其他月份的浓度,5月份最低,这分别于藻类生长与降雨径流增强时期相匹配。此外,SIA沉积物固相MeHg高于PIA,这表明SedPIA对甲基汞的保留能力更高。

图3 沉水植物衰退期间孔隙水(A、C)、界面水(B、D)的DHg和DMeHg浓度和固相颗粒(E)MeHg含量
SPD事件提高了沉积物-水界面的DHg浓度,其中,2月份SIA和PIA分别增长了24.02%和47.67%,而5月份分别增长了138.18%和89.92%(图4A)。5月份,界面水中DHg浓度显著增加,与雨季相吻合。2023年2月和5月,PIA-DMeHg显著下降,分别下降79.45%和61.52%,这表明DMeHg不遵循DHg的模式(图4C)。SPD后SedPIA和SedSIA的MeHg浓度分别显著下降了78.95%和47.17%(图4E)。而2014年沉积物颗粒中MeHg含量为0.44±0.01%,显著高于2023年(0.27±0.00%),这表明近年来地表沉积物MeHg的累积有所减少。

图4 沉水植物衰退前(2014)和衰退后(2023)界面水(A、C)和孔隙水(B、D)中DHg和DMeHg浓度,以及沉积物颗粒MeHg(E)和沉积颗粒物中MeHg与总汞的比值(F)变化
偏最小二乘路径模型(PLS-PM)结果表明,DOM特性对于甲基汞的产生的影响是积极的,其中,DOM中的类蛋白组分的贡献最为明显。DOM的芳香性则主要调控DHg在界面水中的积累。
沉水植物衰退事件引起汞和甲基汞在水和沉积物中的积极响应。在空间方面,PIA表现出沉积物Hg的增加和MeHg的减少,以及孔隙水与界面水中DHg和DMeHg浓度的降低。在时间分布上面,5月份呈现出孔隙水和界面水中DHg的增加,而8月份则表现出DMeHg积累的增加,形成了时间上的错配分布。在10年尺度上,沉水植物衰退后,沉积物-水界面处的DHg显著增加,而空隙水和沉积物中的DHg和MeHg显著减少。沉水植物衰退事件的发生具有偶然性,也是不可预料的,但是它重塑了高原湿地沉积物Hg和MeHg的分布模式,本研究强调将这一事件在未来纳入到高原湿地Hg风险评估当中的必要性。
原文链接
https://doi.org/10.1016/j.watres.2025.124638
联系作者
尹德良,副教授,贵州大学,Email:dlyin@gzu.edu.cn